
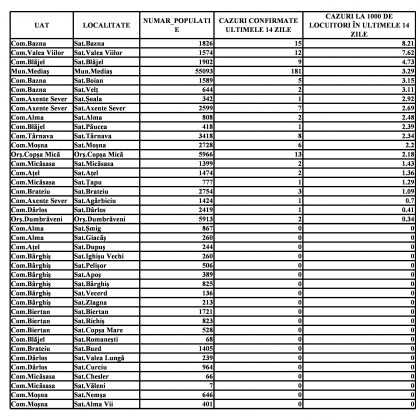
Rata incidenței cazurilor de COVID-19 continuă scăderea la Mediaș, dar și la nivelul județului Sibiu.
Astfel, conform Prefecturii Sibiu, în municipiul Mediaș rata incidenței cazurilor de COVID-19 era duminică de 3,29 față de 3,56 conform raportării de sâmbătă. În ceea ce privește județul Sibiu, rata continuă scăderea, fiind de 2,71 cazuri la mia de locuitori, față de 2,87 cât era cu patru zile în urmă.
































































